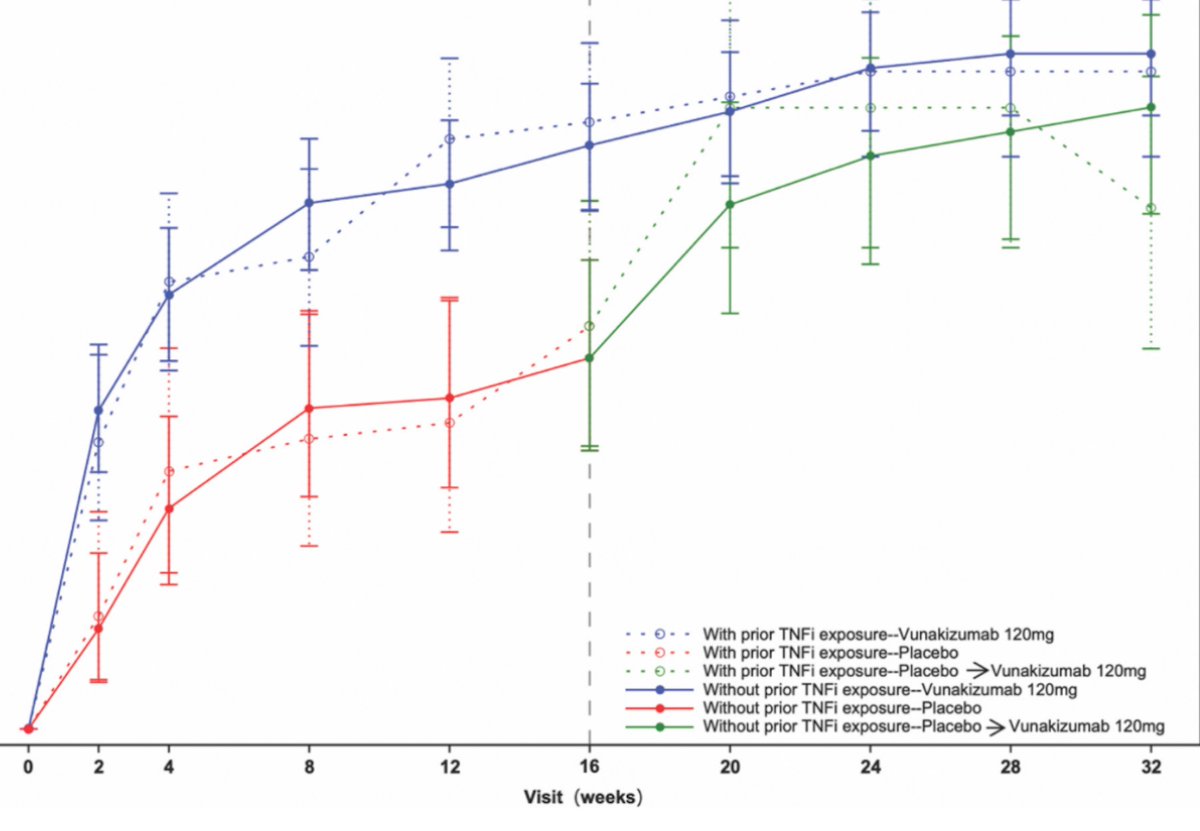
All News
Follow the Money (4.23.2026)
Dr. Jack Cush follows the money and all the news that fits the Rheumatology Gab for this past week.
Read ArticlePrescribing Lessons (4.17.2026)
Dr. Jack Cush reviews the news and journal articles from this past week on RheumNow.com.
Read ArticleTop Four and More (4.10.2026)
Dr. Jack Cush reviews the news and journal reports from RheumNow.com this week - including his top four favorite subjects.
Read ArticleNEJM: Polymyalgia Rheumatica
Drs. Dejaco and Matteson have published and update and review of polymyalgia rheumatica (PMR) in the NEJM. They lay out the initial approach to diagnosis, initial steroid dosing, management over time and when to use steroid sparing therapy.
Read ArticleRheumatology Pitfalls (3.20.2026)
Dr. Jack Cush reviews the regulatory actions, news and journal reports from this past week on RheumNow.com.
Read ArticleRheumatic Immune-related Adverse Effects with Checkpoint Inhibitor Therapy
A retrospective study of patients who developed rheumatic immune-related adverse events (R-irAEs) after receiving immune checkpoint inhibitors (ICIs) at two oncology centers in Spain suggests that early recognition can lead to effective management that allows continuation of cancer therapy.
Read ArticleUBER Rheumatology Ride (3.6.2026)
Dr. Jack Cush reviews the news and journal reports from this week on RheumNow.com
Read ArticleGiant Cell Arteritis Outcomes in Canada
A retrospective cohort study of patients with giant cell arteritis (GCA) demonstrates relapses are common and seen in nearly half of patients, were common after treatment is stopped and is not effectively averted by methotrexate (MTX).
Read Article2026 Resolutions (1.9.2026)
Dr. Jack Cush reviews the news, announcements and journal articles from this past week on RheumNow.com. More on Variable bendability, a better way to treat RA, and a novel advance for GLP1a in PsA; and 2026 Resolutions!
Read ArticleBest of 2025: Glossary for Giant Cell Arteritis
Dejaco and colleagues have published a glossary of terms often used in conjunction with giant cell arteritis. The glossary of definitions for 23 signs and symptoms of GCA was developed through a consensus process involving international experts.
Read ArticleTurkey Tryptophan (11.28.2025)
Dr. Jack Cush reviews the news and reports from this past week on RheumNow.com, including reports on FDA resurrections, FM seasonal worsening, and do you fight switch or swap biologics in PsA TNFi nonresponders?
Read ArticleTreating During Pregnancy (11.14.2025)
Dr. Jack Cush reviews the journal articles, news and guidelines from this past week on RheumNow.com
Read Article
Links:


