Skip to main content

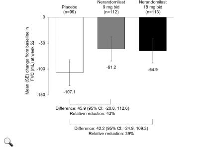
FIBRONEER-ILD Ph3 PD4B inhibitor Nerandomilast 1100+ pts, 320+ w/ SARD-ILD wk52 FVC relative reduction of decline 9 

Social Author Name
Aurelie Najm
Tweet Content
FIBRONEER-ILD Ph3 PD4B inhibitor Nerandomilast 1100+ pts, 320+ w/ SARD-ILD wk52 FVC relative reduction of decline 9 mg bid 43% 18 mg bid 39% vs. PBO HR 0.56 time to first acute exacerbation of ILD, hospitalisation for resp cause or death in higher dose group 11% https://t.co/CeXWB2GlOe

#EULAR2025 Abstr#LB0003 Post-hoc analyses of Phase 3 RCT: Nerandomilast (with or without Nintadenib combo) in sub-group

Social Author Name
Md Yuzaiful Md Yusof
Tweet Content
#EULAR2025 Abstr#LB0003 Post-hoc analyses of Phase 3 RCT: Nerandomilast (with or without Nintadenib combo) in sub-group patients with autoimmune #ILD reported similar lung efficacy and safety over PBO, in line with overall trial population. Diarrhoea was common AE @RheumNow https://t.co/fxRdflCi9W

Guselkumab in APEX study (PsA, n=1020, biologic-naïve): 🦴 Less joint damage: 0.55 vs 1.35 (placebo) 💪 More respon

Social Author Name
Jiha Lee
Tweet Content
Guselkumab in APEX study (PsA, n=1020, biologic-naïve): 🦴 Less joint damage: 0.55 vs 1.35 (placebo) 💪 More responders: 67–68% hit ACR20 on GUS 🛡 Safety: similar to placebo GUS - selective IL-23i - delivers joint protection and symptom relief LB0010 @RheumNow #EULAR2025

Recommendations for RA management at #EULAR2025 - MTX [or other csDMARDs] and steroids still remain the first line- not

Social Author Name
Bella Mehta
Tweet Content
Recommendations for RA management at #EULAR2025 - MTX [or other csDMARDs] and steroids still remain the first line- nothing beats that! - ofcourse minimize steroids! - rather than stopping meds at remission, reducing doses may be a better solution. Not much changed. @RheumNow https://t.co/NK5ejsgjWV

Proud to present the 1st #ARCH_ArLAR prospective interventional study #EULAR2025 Large awareness campaign ➡️ 🔺?

Social Author Name
Nelly ZIADE 🍀
Tweet Content
Proud to present the 1st #ARCH_ArLAR prospective interventional study #EULAR2025 Large awareness campaign ➡️ 🔺️Proportion new referred CIRDs pts ⬆️ from 31 to 37% 🔺️Time 2 see a rheuma ⬇️ 14 to 10 mo 🔺️Time 2 diagnosis ⬇️ 18 to 12 mo POS1310 @RheumNow @ArLARheumatolog https://t.co/eKrRKHNXMZ

In RCT of RA pts in remission/low disease activity, spacing ozoralizumab (next gen TNFi) or reducing MTX led to more fla

Social Author Name
Mrinalini Dey
Tweet Content
In RCT of RA pts in remission/low disease activity, spacing ozoralizumab (next gen TNFi) or reducing MTX led to more flares vs continued tx; but most pts in remission at baseline maintained LDAS. Remission matters for subsequent Tx reduction. @RheumNow #EULAR2025 #LB0006

Suppression of inflammation fire 🔥 in #axSpA may prevent subclinical atherosclerosis progression ❤️ 🔺️90

Social Author Name
Nelly ZIADE 🍀
Tweet Content
Suppression of inflammation fire 🔥 in #axSpA may prevent subclinical atherosclerosis progression ❤️ 🔺️90 patients 🔺️74% achieved LDA at 12 mo 🔺️Carotid plaque progression was higher in non-LDA group POS1311 #EULAR2015 @RheumNow

#EULAR2025 Abstr#LB0004 Phase 2 RCT of first-in-class, Enpatoran, TLR7/8-i in active #SLE despite SOC (Cohort B) reporte

Social Author Name
Md Yuzaiful Md Yusof
Tweet Content
#EULAR2025 Abstr#LB0004 Phase 2 RCT of first-in-class, Enpatoran, TLR7/8-i in active #SLE despite SOC (Cohort B) reported nominal improvement in BICLA but no dose-dependent response. Greater effects seen on active CLE, high IFN-GS or high dose GC. No major safety signal @RheumNow https://t.co/aX4ier0rAy

RheumNow’s expanded coverage of the #EULAR2025 Annual meeting is sponsored in part by Johnson & Johnson and UCB. A

Social Author Name
Dr. John Cush
Tweet Content
RheumNow’s expanded coverage of the #EULAR2025 Annual meeting is sponsored in part by Johnson & Johnson and UCB. All content chosen by RheumNow & its Faculty.

Enpatoran (TLR7/8 inhibitor) in SLE & CLE - helps skin, others? - suppresses interferon lowest dose was highest resp

Social Author Name
David Liew
Tweet Content
Enpatoran (TLR7/8 inhibitor) in SLE & CLE - helps skin, others? - suppresses interferon lowest dose was highest response though (upsetting primary endpoint) Promising, watch for the ph3 No photos allowed, but official slides: https://t.co/1yX6XrYvKH #EULAR2025 LB0004 @RheumNow
Subscribe to
×