Skip to main content

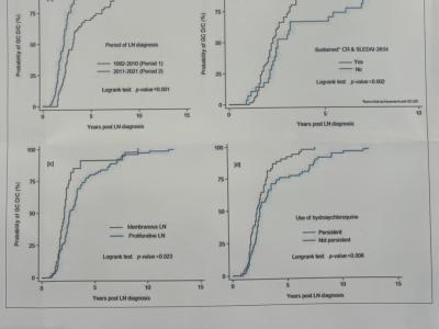
#EULAR2025 Abstr#OP0324 Cohort study of #lupus nephritis in Greece showed Earlier GC Discontinuation (D/C) & flare p

Social Author Name
Md Yuzaiful Md Yusof
Tweet Content
#EULAR2025 Abstr#OP0324 Cohort study of #lupus nephritis in Greece showed Earlier GC Discontinuation (D/C) & flare protection post-D/C is associated with renal response, low disease activity & HCQ use at GC D/C. Membranous LN & recent diagnosis were assoc w early GC D/C @RheumNow https://t.co/agFgyG5eaS

Should we still be worried about lymphoma developing in RA patients? Incidence has plummeted with modern therapy, altho

Social Author Name
David Liew
Tweet Content
Should we still be worried about lymphoma developing in RA patients? Incidence has plummeted with modern therapy, although still a small risk. TNFi and other bDMARDs don’t seem to confer any real risk. So what should our approach be? Karin Hellgren #EULAR2025 @RheumNow https://t.co/9ZodpojSaz

About #Multidisciplinarity ... Dr Ihsane Hmamouchi talking about Multidisciplinary Approach to Migrant #Rheumatology Ca

Social Author Name
Nelly ZIADE 🍀
Tweet Content
About #Multidisciplinarity ... Dr Ihsane Hmamouchi talking about Multidisciplinary Approach to Migrant #Rheumatology Care #quotes #EULAR2025 #Invitedspeaker #outofthebox @RheumNow @epirheum https://t.co/RG6xpHejv9

#EULAR2025 Abstr#POS0991 RCT showed Adjuvanted Herpes Zoster vaccination appeared safe in #SLE upto 1 year. However, hum

Social Author Name
Md Yuzaiful Md Yusof
Tweet Content
#EULAR2025 Abstr#POS0991 RCT showed Adjuvanted Herpes Zoster vaccination appeared safe in #SLE upto 1 year. However, humoral and cellular responses declined over time. Longer follow up needed to ascertain frequency of vaccine to be repeated @RheumNow https://t.co/FcUi1OfBLu

What kills in GCA? Greek national prospective cohort, small numbers and no doubt some channeling bias, but: Steroids (

Social Author Name
David Liew
Tweet Content
What kills in GCA? Greek national prospective cohort, small numbers and no doubt some channeling bias, but: Steroids (absence of DMARD use) is more of a factor than CV disease in GCA mortality. With new options, all GCA pts should be on something #EULAR2025 POS0960 @RheumNow https://t.co/Wmvf6tEvaF

In PsA, can we better pick IL-17A inhibitor responders (after TNFi failure)? Transcriptomic profiling is going to get b

Social Author Name
David Liew
Tweet Content
In PsA, can we better pick IL-17A inhibitor responders (after TNFi failure)? Transcriptomic profiling is going to get better at telling us which pathways are truly important for response to specific treatments POS0232 #EULAR2025 @RheumNow https://t.co/uycuXB0TFK

KORAIL cohort Prediction model for progression of RA-ILD at 3 years A combination of classic clinical parameters incl DA

Social Author Name
Aurelie Najm
Tweet Content
KORAIL cohort Prediction model for progression of RA-ILD at 3 years A combination of classic clinical parameters incl DA , ILD pattern, ACPA KL-6 with AUC 0.75 HR=34 for progression in High risk group Need validation in an external cohort @RheumNow #EULAR2025 OP0329 https://t.co/LIvn1JCXPq

#digital #ulcers in #scleroderma🎯 Retrospective #iloprost vs #selexipag 👇 BIG advantage of oral #prostacyclin re

Social Author Name
Janet Pope
Tweet Content
#digital #ulcers in #scleroderma🎯 Retrospective #iloprost vs #selexipag 👇 BIG advantage of oral #prostacyclin receptor #agonist vs iloprost healing faster ⬇️ulcers Selexipag used in iloprost failures; ⬇️IV access WOW! RCT needed #OP035 #EULAR2025 @RheumNow @eular_org https://t.co/6y9LwIlQkd
Predictors and Outcomes in Systemic Sclerosis
The VEDOSS project has previously shown that 70% of patients with Raynaud’s phenomenon and at least one red flag – systemic sclerosis (SSc)-specific antibodies, puffy fingers, or an SSc pattern on nailfold capillaroscopy –will fulfil the 2013 ACR/EULAR SSc criteria within 5 years.

SLE Preview: advances to achieve deep B-cell depletion The race is on for the first chimeric antigen receptor (CAR)-bas

Social Author Name
Dr. John Cush
Tweet Content
SLE Preview: advances to achieve deep B-cell depletion The race is on for the first chimeric antigen receptor (CAR)-based therapy to be approved for the treatment of systemic lupus erythematosus (SLE). Its main principle is to induce deep B-cell depletion, with the hope to reset https://t.co/OzQ05YFZfb
Subscribe to
×