Skip to main content

RT @RichardPAConway: Deane et al STOP RA trial. DBRCT HCQ vs PBO pre-RA. Treat 1 year, stop, 2 year follow up. Does not

Social Author Name
Richard Conway
Tweet Content
Deane et al STOP RA trial. DBRCT HCQ vs PBO pre-RA. Treat 1 year, stop, 2 year follow up. Does not prevent RA development. Literally no effect at all, even during treatment phase. @RheumNow #ACR22 Abstr#1604 https://t.co/7jHv7cs5DT https://t.co/GNblKs90RU

RT @RichardPAConway: Hoffmann-Vold. ILD in pSS. Frequently progressive - 21% FVC, 32% DLCO, 45% HRCT progression over 1

Social Author Name
Richard Conway
Tweet Content
Hoffmann-Vold. ILD in pSS. Frequently progressive - 21% FVC, 32% DLCO, 45% HRCT progression over 1 year. @RheumNow #ACR22 Abstr#2049 https://t.co/um3845jOFC https://t.co/64BEB2VyG0

RT @Janetbirdope: New SLE Rx. Deucravitinib a TYK2i phase 2 RCT showed SRI4 endpoint. Subset of 3 mg bid was best vs 6 m

Social Author Name
Janet Pope
Tweet Content
New SLE Rx. Deucravitinib a TYK2i phase 2 RCT showed SRI4 endpoint. Subset of 3 mg bid was best vs 6 mg bid and 12 mg OD. Skin via CLASI-50 & other endpoints also positive. Awaiting phase III. Abst1117 #ACR22 @RheumNow https://t.co/fZI3AV5pML

RT @RichardPAConway: Hidekawa et al. HCQ use assoc reduced severe infection in LUNA SLE registry, HR 0.26. ?due to bette

Social Author Name
Richard Conway
Tweet Content
Hidekawa et al. HCQ use assoc reduced severe infection in LUNA SLE registry, HR 0.26. ?due to better disease control rather than anti-infectious role, but HR 0.32 in multivariable model including SLEDAI. @RheumNow #ACR22 Abstr#2059 https://t.co/EgTJOAymoF https://t.co/gmchk9ZS5L

RT @Janetbirdope: Is #Tofacitinib an option in #PMR poly myalgia rheumatica? RCT of Tofa 5 mg bid vs prednisone 15 mg/d

Social Author Name
Janet Pope
Tweet Content
Is #Tofacitinib an option in #PMR poly myalgia rheumatica? RCT of Tofa 5 mg bid vs prednisone 15 mg/d and tapering. Equal results. Needs a phase 3 trial but could be an option if needing to avoid prednisone ex osteoporosis, DM, etc. abst#1107 #ACR22 @RheumNow https://t.co/OgcgslwaB5

RT @synovialjoints: ⇧ brain functional connectivity to the insula between the mid-posterior IC & brain areas invol

Social Author Name
Dr. Antoni Chan
Tweet Content
⇧ brain functional connectivity to the insula between the mid-posterior IC & brain areas involved in sensory (thalamus), learning/affective (parahippocampal gyrus), cognitive (prefrontal cortex) pain modulation in PsA. Sunzini F Abs#2256 https://t.co/5TUcOacuIS #ACR22 @RheumNow https://t.co/7IqLYzzpyA

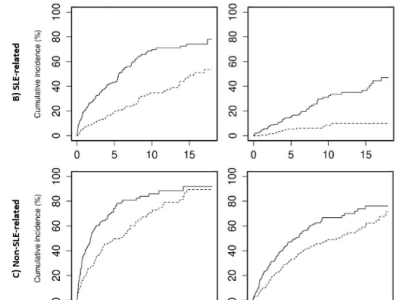
RT @RichardPAConway: Figueroa Parra @AliDuarteMD et al. Multimorbidity in SLE. Higher at classification - due to non-SLE

Social Author Name
Richard Conway
Tweet Content
Figueroa Parra @AliDuarteMD et al. Multimorbidity in SLE. Higher at classification - due to non-SLE assoc. SLE-assoc drive increased accumulation over time but non-SLE assoc also increased @RheumNow #ACR22 Abstr#2091 https://t.co/6IyhovSNYA https://t.co/qmYfoqCTtz

RT @RichardPAConway: Kavanaugh et al. TYK2i deucravacitinib in PsA. Nice breakdown of MDA and its components over 16 wee

Social Author Name
Richard Conway
Tweet Content
Kavanaugh et al. TYK2i deucravacitinib in PsA. Nice breakdown of MDA and its components over 16 weeks. MDA achieved 23-24% with deucravacitinib at 16 weeks vs 8% with placebo @RheumNow #ACR22 Abstr#2136 https://t.co/9IG8CeZzMh https://t.co/Vg8E20y7Z8
Subscribe to
×