Skip to main content

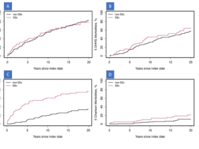
RT @RichardPAConway: Makol @AshimaMakol et al. Multimorbidity in SSc . SSc higher burden multimorbidity at diagnosis and

Social Author Name
Richard Conway
Tweet Content
Makol @AshimaMakol et al. Multimorbidity in SSc . SSc higher burden multimorbidity at diagnosis and higher risk of developing multimorbidity over time @RheumNow #ACR22 Abstr#1190 https://t.co/VopFI6U5G5 https://t.co/hKKPC7v8EN

RT @uptoTate: CorEVITAS Abs 1499 #ACRbest #ACR22 cycling to a second line TNFi provides limited benefits to pts with AxS

Social Author Name
Dr. Rachel Tate
Tweet Content
CorEVITAS Abs 1499 #ACRbest #ACR22 cycling to a second line TNFi provides limited benefits to pts with AxSpA who discontinued a first line TNFi. @RheumNow https://t.co/fKDa5kPfXN https://t.co/CtMCj2Ihgc

RT @RichardPAConway: Mazareeb et al. von Willebrand Factor in systemic vasculitis. Increased in active vasculitis compar

Social Author Name
Richard Conway
Tweet Content
Mazareeb et al. von Willebrand Factor in systemic vasculitis. Increased in active vasculitis compared to remission and HCs. Correlates disease activity. Not affected by IL6i. @RheumNow #ACR22 Abstr#1573 https://t.co/uJAFHQpOlu https://t.co/PNX0puOeCn

RT @KDAO2011: Drop PJP prophylaxis in #SLE. Retrospec cohort 4900 SLE on MMF or CYP: 1 case of PJP detected over 2282 pe

Social Author Name
TheDaoIndex
Tweet Content
Drop PJP prophylaxis in #SLE. Retrospec cohort 4900 SLE on MMF or CYP: 1 case of PJP detected over 2282 person years (incidence rate 0.44/1000 py); PJP prophylx cause neutropenia (IRR 4.7), leukopenia (IRR 4.0), C diff (IRR 3.9), hyperkalemia (IRR 3.7) abst#1594 ACR#22 @rheumnow

RT @DrPetryna: #abs1601 #acr22 @rheumnow gender analysis of RCT 166 PsA pts on UST: F show ⬇️ response in resolution

Social Author Name
Olga Petryna
Tweet Content
#abs1601 #acr22 @rheumnow gender analysis of RCT 166 PsA pts on UST: F show ⬇️ response in resolution of pain, enthesitis, dactylitis& ACR response rates in both mono and MTXcombo groups. Unlike M, F seem not to benefit from UST+MTX combo for improvement of enthesitis& dactylitis https://t.co/a0uao6eWDO

RT @RichardPAConway: Papagoras et al. Serum GM-CSF increased in AxSpA and persists despite TNFi. Are we going to have a

Social Author Name
Richard Conway
Tweet Content
Papagoras et al. Serum GM-CSF increased in AxSpA and persists despite TNFi. Are we going to have a trial of mavrilimumab in AxSpA then? @RheumNow #ACR22 Abstr#1156 https://t.co/wCFsY9nC1p https://t.co/lrQQ7tIX4x

RT @uptoTate: Abs 1507 at #ACR22 demonstrated that even a 6-month delay in PsA dx from symptom onset contributes to wor

Social Author Name
Dr. Rachel Tate
Tweet Content
Abs 1507 at #ACR22 demonstrated that even a 6-month delay in PsA dx from symptom onset contributes to worse patient-reported outcomes measures on overall quality of life. @RheumNow https://t.co/qLOwE9rImz https://t.co/nacdjz5pCy

RT @uptoTate: The likelihood of a patient self-reporting LDA/REM and specificity of MDA score were unaffected by which M

Social Author Name
Dr. Rachel Tate
Tweet Content
The likelihood of a patient self-reporting LDA/REM and specificity of MDA score were unaffected by which MDA criteria were met. @DrLauraCoates et al, Abs 1496 #ACR22 @RheumNow https://t.co/xH70swdZZ0 https://t.co/Wct0emTaDt
Subscribe to
×